登录方式

方式一:
PC端网页:www.rccrc.cn
输入账号密码登录,可将此网址收藏并保存密码方便下次登录

方式二:
手机端网页:www.rccrc.cn
输入账号密码登录,可将此网址添加至手机桌面并保存密码方便下次登录

方式三:
【重症肺言】微信公众号
输入账号密码登录

注:账号具有唯一性,即同一个账号不能在两个地方同时登录。

登录
方式

为重症救治赋能

为患者康复加速

当前位置: 首页 呼吸危重症菁英秀

浅谈诱导痰技术在呼吸系统疾病中的应用及展望

高鹏飞 河南科技大学第一附属医院 发布于2024-05-23 浏览 3889 收藏

作者:高鹏飞

单位:河南科技大学第一附属医院呼吸与危重症医学科

01

    概 述  

患者入院后,通常需要进行血液常规、尿液常规和粪便常规的基础检查。对于泌尿系统疾病和消化系统疾病,尿液常规和粪便常规发挥了重要作用。同理,胸水常规之于胸膜疾病、脑脊液常规之于神经系统疾病,也都是重要的检查标本。那么,对于呼吸系统疾病,是否存在类似的理想标本?痰液就是直接来源于呼吸道的样本,它是呼吸道受到刺激分泌的液体,成分包含黏液、异物、病原微生物,各种炎症细胞、坏死脱落的黏膜上皮细胞等。目前临床上相当一部分呼吸疾病患者存在自主排痰,但也有一部分患者无咳痰症状,因此不易获取直接来源于呼吸道的标本。当然,这其中也有部分患者能够通过气管镜检查获得肺泡灌洗液(BALF),但此项检查风险及不舒适程度均较高。而诱导痰法则是通过吸入雾化高渗盐水诱导痰液生成,并进一步分析痰液中细胞成分和上清液可溶性介质的非侵袭性方法,这种方法可以获取到无法自主排痰患者的痰液标本。
呼吸系统疾病分为感染性疾病和非感染性疾病,尽管多数呼吸道感染患者存在咳痰症状,但在部分感染性疾病中,尤其是病毒及非典型病原体导致的感染中,很多患者是以干咳为主,无自主排痰或痰量极少;而对于大部分非感染性呼吸系统疾病,如慢性气道疾病、间质性肺病以及肺部肿瘤,则有相当一部分患者无自主排痰。对于此类患者,诱导痰作为直接来源于肺脏局部的标本,能够直观反映肺部病变的病理生理特征,具有重要意义。2009年美国学者Nicholas和Djukanović在Biochem Soc Trans杂志发表了一篇有关诱导痰的综述,该文旗帜鲜明地提出,诱导痰可能是反映肺部病理变化的一扇[1]

图片

02

诱导痰操作流程及安全性

1. 诱导痰操作流程

(1)患者评估:评估患者一般情况、肺功能,了解并记录患者主要病史及用药史。患者FEV1占预计值百分比>60%,通常都是安全的。
(2)物品准备:雾化器,天平,水浴箱,振荡器,离心机,显微镜,染液等。
(3)盐水雾化:通常使用3%~5%的高渗盐水进行雾化诱导,对于基础肺功能较差的患者可使用生理盐水。
(4)痰液处理:DTT裂解,离心,分离血清和细胞,细胞甩片或涂片等。
(5)标本保存:痰液上清及细胞沉淀分别分装保存于-80°C冰箱待检测。
(6)检测分析:细胞学分类,上清炎症介质检测,蛋白组学、转录组学、代谢组学及病原学分析。

2. 诱导痰的安全性

2000年,Vlachos-Mayer等专门就诱导痰的安全性开展了相关研究,研究中的四组患者分别雾化吸入等渗盐水、3%盐水、4%盐水和5%盐水,结果提示患者诱导痰完成后,FEV1基线有一些下降,但绝大部分都可以接受[2]。同年,有研究分析了诱导痰在健康人群中的细胞学特征,结果显示:正常人群诱导痰的细胞以巨噬细胞和中性粒细胞为主,此外还有少量嗜酸性粒细胞及淋巴细胞[3]
图片
图源:Eur Respir J, 2000, 16(5):997-1000.

03

 诱导痰的临床应用 

1. 诱导痰在哮喘中的应用
诱导痰在哮喘患者中的应用较为广泛,相关文献报道也比较多。2002年Lancet杂志发表一项随机对照试验,充分体现了诱导痰在哮喘治疗中的重要性[4]。该研究招募了74例中至重度哮喘患者,分别根据英国胸科学会(BTS)哮喘指南或以诱导痰嗜酸性粒细胞计数正常化和症状减轻为目标对受试哮喘患者进行管理,分为BTS管理组和痰液管理组,并进行为期12个月的随访评估,结果发现,BTS管理组患者哮喘急性加重次数远高于痰液管理组。由此可知,诱导痰中的细胞学反应可以看作是肺功能和症状的病理生理学基础。所以,以此为指标,相当于更早地对疾病进行干预和控制,由此也反映了诱导痰在哮喘治疗中的重要地位。
图片
2012年发表的一项研究分析了995名哮喘受试者的痰细胞学数据,其中47%的患者表现为持续非嗜酸性粒细胞气道炎症[5]。在此之前,绝大部分研究探讨的嗜酸性粒细胞炎症还是基于BALF或组织标本。该研究对于拓展对非嗜酸性粒细胞气道炎症的认识也具有重要意义。
2018年发表的一项研究通过诱导痰标本进行了重度哮喘患者炎症表型与不同气道微生物学相关性的研究[6],该研究发现,中性粒细胞哮喘和嗜酸性粒细胞哮喘所包含的微生物菌群是不同的,中性粒细胞哮喘中微生物菌群的多样性明显低于嗜酸性粒细胞哮喘,而且在中性粒细胞哮喘中,机会性感染细菌占主导,而在嗜酸性粒细胞哮喘中,主要还是正常的气道定植菌。
图片
图源:J Allergy Clin Immunol, 2018, 141(1):94-103.e15.
2. 诱导痰在慢阻肺中的应用
嗜酸性粒细胞在慢阻肺表型界定和治疗中的作用早已被纳入GOLD指南。2017年发表的一项队列分析研究探讨了痰液和血液嗜酸性粒细胞浓度与慢阻肺严重程度临床测量的关联性[7]。该研究对后续的临床理念影响颇深。此外,还有研究发现诱导痰中黏蛋白水平与慢阻肺分级也具有较强的相关性[8]
图片
图源:N Engl J Med, 2017, 377(10):911-922.
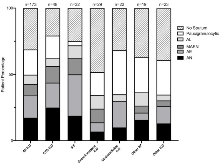
3. 诱导痰在间质性肺疾病中的应用
近年来,诱导痰在间质性肺疾病(ILD)中的应用也有了一些初步探索,但结论尚不十分成熟。2020年发表在Respir Med 杂志的文献[9]并没有对诱导痰在不同类型ILD(如特发性肺纤维化、特发性间质性肺炎、气道淋巴细胞增多症、气道中性粒细胞增多症、气道嗜酸性粒细胞增多症)中的细胞学比例提出真正有差异的提示,仅证实ILD中的细胞学分类可能对于我们窥见不同类型ILD中的病理生理机制有一定的提示意义。临床实际工作中,许多ILD患者也未接受指南所推荐进行的肺泡灌洗或病理活检。因此,仍缺少直接来自于呼吸道的样本。该研究还提到,对于ILD患者,肺局部的炎症水平对于肺功能有明确影响。
图片
图源: Respir Med, 2020, 170:106067.
4. 诱导痰在肺部肿瘤中的应用
近年来,液体活检作为肿瘤早筛的工具发挥了重要作用。因此,国内学者提出能否用诱导痰替代液体活检?他们开展了一项研究发现,在中心型肿瘤中,诱导痰样本的阳性率高于血清样本阳性率,而在周围型肿瘤中,诱导痰样本的阳性率则低于血清样本阳性率(以组织学作为对照)[10]。所以,诱导痰在肺部肿瘤筛查中的应用价值也得到了初步的体现。
5. 诱导痰在肺结核中的应用
诱导痰在感染性疾病尤其在肺结核中的应用中已经颇为成熟。有荟萃分析纳入了5项研究,结果证实,诱导痰在肺结核诊断中的敏感度为72%,而气管镜检查的敏感度为70%,当然这都是在自主排痰阴性的结核患者中进行的诊断实验。2022年发表的一项研究探讨了不同呼吸道标本(BALF、痰液、诱导痰)进行肺结核分子诊断的效能[11]。研究发现,自主排痰与诱导痰的敏感度并无显著差异,但问题的关键在于,该研究中自主排痰的结核患者都是直接使用的自主排痰,而诱导痰没有自主排痰患者。对于没有自主排痰的患者而言,通过诱导痰的方式获得的结核在分子生物学上的标记比例并不低于BALF,甚至还略有升高。这也提示该项无创检查在结核诊断中存在巨大潜力。
6. 诱导痰在COVID-19中的应用
2020年发表的文献显示,咽拭子对SARS-CoV-19核酸的阳性检出率当时还较低,为了提高阳性检出率,我国学者比较了诱导痰与咽拭子的SARS-CoV-19核酸阳性检出率,结果发现,诱导痰中SARS-CoV-19核酸阳性检出率明显高于咽拭子[12]
图片

图源:Virulence, 2020, 11(1):1394-1401.

04

 总结及展望

诱导痰技术在临床应用中安全、无创、可接受度高,但目前在我国的普及度尚有较大的提升空间。作为直接来源于呼吸系统局部的标本,其对探究无自主咳痰的呼吸系统疾病病理生理特征具有巨大的潜在价值,其在不同种类疾病中的应用研究进展存在较大差异。目前诱导痰技术在慢性气道疾病中的应用已较为成熟,但仍缺乏推广,而在ILD、肺部肿瘤、病毒或非典型病原体感染性疾病中,诱导痰的应用仍需要更多研究探索。目前诱导痰的操作流程比较繁琐,操作流程标准化,统一质控标准是诱导痰扩大临床应用的关键所在。在未来,随着诱导痰技术不断被认可和推广,除了血液常规、尿液常规及粪便常规之外,“痰液常规”或许可能发展成为呼吸系统疾病的常规检查而发挥重要作用。
图片
参考文献
(向下滑动查看全部文献)

[1] Nicholas B, Djukanović R. Induced sputum: a window to lung pathology[J]. Biochem Soc Trans, 2009, 37(Pt 4):868-872. 

[2] Vlachos-Mayer H, Leigh R, Sharon R F, et al. Success and safety of sputum induction in the clinical setting[J]. Eur Respir J, 2000, 16(5):997-1000. 

[3] Belda J, Leigh R, Parameswaran K, et al. Induced sputum cell counts in healthy adults[J]. Am J Respir Crit Care Med, 2000, 161(2 Pt 1):475-478. 

[4] Green R H, Brightling C E, McKenna S, et al. Asthma exacerbations and sputum eosinophil counts: a randomised controlled trial[J]. Lancet, 2002, 360(9347):1715-1721. 

[5] McGrath K W, Icitovic N, Boushey H A, et al. A large subgroup of mild-to-moderate asthma is persistently noneosinophilic[J]. Am J Respir Crit Care Med, 2012, 185(6):612-619. 

[6] Taylor S L, Leong L E X, Choo J M, et al. Inflammatory phenotypes in patients with severe asthma are associated with distinct airway microbiology[J]. J Allergy Clin Immunol, 2018, 141(1):94-103.e15. 

[7] Hastie A T, Martinez F J, Curtis J L, et al. Association of sputum and blood eosinophil concentrations with clinical measures of COPD severity: an analysis of the SPIROMICS cohort[J]. Lancet Respir Med, 2017, 5(12):956-967. 

[8] Kesimer M, Ford A A, Ceppe A, et al. Airway Mucin Concentration as a Marker of Chronic Bronchitis[J]. N Engl J Med, 2017, 377(10):911-922. 

[9] Ho T, Scallan C, Rezaee N, et al. Sputum quantitative cytometry in patients with interstitial lung disease and chronic cough[J]. Respir Med, 2020, 170:106067. 

[10] Xie X, Wu J, Guo B, et al.Comprehensive characterization reveals sputum supernatant as a valuable alternative liquid biopsy for genome profiling in advanced non-small cell lung cancer[J]. Respir Res, 2022, 23(1):175. 

[11]Andrade L S, Silva D R, Santos A P, et al. Molecular diagnosis of pulmonary tuberculosis using different respiratory specimens: The spotlight of induced sputum[J]. Pulmonology, 2022, 28(2):134-136.

[12] Lai T, Xiang F, Zeng J, et al. Reliability of induced sputum test is greater than that of throat swab test for detecting SARS-CoV-2 in patients with COVID-19: A multi-center cross-sectional study[J]. Virulence, 2020, 11(1):1394-1401. 

作者简介

图片

高鹏飞
  • 河南科技大学第一附属医院呼吸与危重症中心
  • 医学博士,讲师,主治医师
  • 河南省研究型医院学会肺栓塞与肺血管病专委会委员
  • 河南省预防医学会过敏病预防与控制专委会委员
  • 主要致力于慢性气道疾病和肺血管病的基础及临床研究
  • 主持河南省科技攻关项目2项,河南省自然科学基金1项
  • 入选首届河洛青年人才托举工程
  • 作为第一作者/通讯作者在Clinical and Experimental Allergy、Respiratory Research、《国际呼吸杂志》等杂志发表论文5篇
*本文根据“呼吸危重症菁英秀”第四十八期专题视频整理,感谢高鹏飞医师予以审核。
全部评论 0
Copyright©2020-2026 北京医麦斯科技有限公司 版权所有 京ICP备2020034400号-1 京公网安备11010502043983号