登录方式

方式一:
PC端网页:www.rccrc.cn
输入账号密码登录,可将此网址收藏并保存密码方便下次登录

方式二:
手机端网页:www.rccrc.cn
输入账号密码登录,可将此网址添加至手机桌面并保存密码方便下次登录

方式三:
【重症肺言】微信公众号
输入账号密码登录

注:账号具有唯一性,即同一个账号不能在两个地方同时登录。

登录
方式

为重症救治赋能

为患者康复加速

当前位置: 首页 呼吸危重症菁英秀

余荷:ARDS表型与个体化治疗

余荷 四川大学华西医院 发布于2024-04-29 浏览 2265 收藏

作者:余荷


单位:四川大学华西医院呼吸与危重症医学科



图片

概述


表型(phenotypes)主要是个体基因型环境相互作用而产生的一系列可观察的特征,在医学上表现为多种综合征,例如ARDS、急性冠脉综合征等。一些文献也会有“亚表型subphenotypes)”描述这是为了更好描述表型根据相同的临床和生物学特征或对治疗的反应性进行分类例如急性冠脉综合征包括不稳定心绞痛ST段抬高心肌梗死 ST段抬高心肌梗死。近年来,越来越多关于ARDS的研究都得出阴性结果,可能与其异质性有一定的关系。识别ARDS的表型有助于疾病的早期诊断、风险评估及精准治疗,并进一步研究发病机制,为基础医学研究和临床试验设计提供指导性方向。


图片

根据严重程度的分型


 
早期柏林定义其实也贯穿了分型的概念,它根据PaO2/FiO2将ARDS分为轻度(200 mmHg<PaO2/FiO2≤300 mmHg)、中度(100 mmHg<PaO2/FiO2≤200 mmHg)和重度(PaO2/FiO2≤100 mmHg),不同分型的预后也存在差异。严重程度越高,死亡率越高。ARDS尸检结果发现,弥漫性肺泡损伤(DAD)占45%,中度和重度患者的病理改变更倾向于DAD,这提示中度和重度ARDS的临床亚型具有更好的同质性。
 
更进一步的研究发现即使是中度ARDS也存在一定的异质研究以PaO2/FiO2 150 mmHg(PEEP 5 cmH2O)作为截点将中度ARDS患者分为轻中度与中重度,两个亚组之间的解剖学与生理学特征有所不同,中重度较轻中度峰压和PaCO2更高,肺重量更大,未充气肺组织和不均一性更明显,可复张性更高,但死亡率两组无显著差异。
 
下图1显示不同程度ARDS在不同压力水平可充气肺组织在CT上的表现,有阴影的部分代表充气不佳的肺组织。所以,轻中度和中重度ARDS患者之间的差异较大。下图2是对于可复张的肺组织的重量比较,轻度和中重度患者之间也存在较大差异。


图片

图片

图源:Am J Respir Crit Care Med, 2018, 197(12):1586-1595.


目前国内外指南均推荐根据不同的氧合指数进行不同的分类治疗,这也在一定程度上体现ARDS分型指导个体化治疗的理念。


图片

图源:Ann Intensive Care, 2019, 9(1):69.


图片

根据病因的分型


ARDS病因分型早在1994年的AECC的标准中就已提到,根据发病诱因可以患者分为直接肺损伤肺内源性ARDS)和间接肺损伤肺外源性ARDS)。直接肺损伤包括肺炎、误吸、肺挫伤等,间接肺损伤包括脓毒症(非肺部因素)、非胸部创伤、输血等。



两种类型的ARDS无论在病理影像、呼吸力学等方面都有差异但部分患者可合并存在而差异不显著。直接肺损伤可能是以上皮损伤为主要表现,间接肺损伤可能内皮损伤为主要表现直接肺损伤透明膜可能不连续较厚,间接肺损伤透明膜比较均一较薄。影像学方面,直接肺损伤的磨玻璃影(GGO)实变比较一致,而间接肺损伤更多是GGO的表现个体化治疗方面,直接损伤PEEP反应欠佳,对俯卧位的反应性稍好;间接肺损伤PEEP和复张反应可能更好。

图片

图片

图源:Clin Chest Med, 2014, 35(4):639-653.


图片

根据生物学特征的分型


近年研究热门是关于ARDS生物学特征的分型炎症分型,相对比较具有代表性意义。根据两个大型的ARDS RCT研究数据(ARMA trial & ALVEOLI trial)进行了统计学聚类分析,1022例患者,根据炎症表达水平分为低炎症型1型高炎症型2型)。



下图分别是衍生队列验证队列红色线代表炎症型,蓝色代表炎症型。高炎症患者的炎症介质IL-6IL-8TNF-α高于低炎症患者炎症患者的临床指标氧合指数、白蛋白碳酸氢盐等低于低炎症患者炎症患者更易合并休克和代谢性酸中毒。这两种分型患者的预后存在一定差异高炎症型患者的机械通气时间和器官衰竭时间更长,预后更差。




图片

图源:Lancet Respir Med, 2014, 2(8):611-620.

尽管IL-8、肿瘤坏死因子受体1(TNFR1)及碳酸氢盐这3个生物标志物有助于分型,但遗憾的是它们并非临床常规检测项目。


图片

不同生物学表型对治疗的不同反应




ARDS分型的最终目的是希望能够指导临床治疗,不同的生物学表对治疗的反应不同在对PEEP的反应方面,低炎症型和高炎症型有一定差异,如果低炎症型患者使用较高的PEEP90天死亡率增加,机械通气时间延长。而高炎症型患者可能更适合较高的PEEP。在液体治疗方面同样也存在差异,低炎症型患者更倾向于保守性的液体治疗方案死亡率更低。高炎症型患者采取开放性的液体治疗策略死亡率更低


药物治疗反应方面,较早期的他汀类药物治疗ARDS研究(HARP-2)已经得出了阴性结果。对该结果进行次分析发现对于高炎症型ARDS患者,使用辛伐他汀治疗与安慰剂比较能够降低病死率,并且能够缩短机械通气的时间。但对于SAILS研究的瑞舒伐他汀的分析未发现亚型不同带来的生存获益。分析原因可能是由于这两种他汀类药物的结构不同,辛伐他汀主要是性药物,而瑞舒伐他汀性药物脂性的他汀类药物的抗炎效果可能更好,这也可能是导致研究没有得到阳性结果原因


一项前瞻性队列研究数据的二次分析显示,非肺源性ARDS患者使用大环内酯类药物后,30天死亡率降低,此外,低炎症型ARDS患者也有一定的生存获益令人困惑的是,大环内酯类药物具有抗炎作用,为何对低炎症ARDS起作用,而对于高炎症型ARDS却无效,研究者并未作出明确解释。


图片

不同生物学表型及基因表达差异


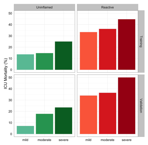
前瞻性队列研究对ARDS患者外周血炎症、凝血及内皮活化的20个生物标志物的数据进行聚类分析,将患者分为“uninflamed”reactive“两型。有4个生物标志物能准确预测分型,它们分别是IL-6、γ干扰素、血管生成素-1/2、纤溶酶原激活剂抑制物-1。Reactive型可能炎症型有一定的重叠,uninflamed型可能炎症型有一定重叠;此外,reactive型患者病死率明显升高。




图片

图片


图源:Thorax, 2017, 72(10):876-883.




生物学分型对指导治疗至关重要ARDS这方面的研究也有学者对此问题进行了试验,对炎症反应比较明显reactive和炎症反应不明显uninflamed)的种类型患者的白细胞mRNA进行分析,结果发现1/3的基因表达不同,reactive型患者中性粒细胞活化和氧化磷酸化相关基因表达上调,患者预后相对较差;而uninflamed型患者促细胞分裂原活化蛋白激酶途径上调,能够调节中性粒细胞的凋亡,在炎症反应中具有一定的保护作用。



图片

根据影像学特征的分型


ARDS的影像学特征分型出现得较早,2000年时就有研究将其分为局灶性和非局灶性(弥漫性)灶性ARDS是指受累的肺叶/较为局限,而非局ARDS主要表现为弥漫性病变灶性ARDS相比,非局灶性ARDS的死亡率高,顺应性差,更常见于间接肺损伤P-V曲线拐点更低,复张效果更好。



图片

基于不同形态学的个体化通气策略


2019年发表了一项根据ARDS不同分型进行的前瞻性研究LIVE study)。该研究纳入诊断12小时内的中重度成人ARDS患者,基于形态学分类,随机分组后进行个体化通气,局灶性患者给予低PEEP、高潮气量和早期俯卧位,非局灶性患者给予肺复张和高PEEP,另外一部分患者进行传统治疗进而评估个体化通气对死亡率的影响。该研究最终未能获得阳性结果,400例患者中有85例(21%)被错误分类。


ITT分析显示两组患者之间是无显著差异,但在排除这部分错误分类的患者,个体化治疗对患者预后有一定改善作用,但需要注意的给予传统潮气量治疗时,这部分局灶性患者的生存率较非局灶性患者更好。


图片


图源:Lancet Respir Med, 2019, 7(10):870-880.



如果被错误分类,患者的死亡率增加,生存率降低尤其对于局灶性患者被错误分到非局灶性组而接受了肺复张、PEEP等治疗,其预后最差。




图片


图源:Lancet Respir Med, 2019, 7(10):870-880.


通过LIVE研究我们可以发现,由于形态学的错误分类可能掩盖了个体化通气对生存率的潜在受益。两种亚型患者死亡率有所不同,既往不同研究中两种亚型的比例不同而导致结果不同。临床亚型分类并进行个体化治疗时,患者可能会获益。非局灶性ARDS患者采取高PEEP、肺复张或许能降低死亡率,局灶性ARDS患者采取高容量、低PEEP、俯卧位可能降低死亡率。如何对ARDS患者进行准确分型难度较大,错误分析后采用特异性治疗策略(机械通气方案与亚型不一致时),将明显增加患者的死亡率,临床结局较标准治疗更差。


图片

COVID-19相关ARDS不同表型的治疗策略



COVID-19相关ARDS的不同表型—L型和H型,类似于前述局灶性和非局灶性分型。L型以通气血流比例异常为主,肺顺应性较好或正常,对PEEP反应性差,机械通气策略以增加潮气量、降低氧需求为主,可考虑使用较低的PEEP(<10 cmH2O)和普通潮气量(7~9 ml/kg)。H型临床特点与典型的ARDS相似,以肺顺应性下降为主,通气策略同经典的ARDS通气策略,即小潮气量(4~6 ml/kg)以及较低的平台压(<30 cmH2O);高PEEP(>10 cmH2O),根据FiO2滴定PEEP维持SpO2>93%,肺复张可能有效。



2021年哈尔滨医科大学附属肿瘤医院王常松教授团队利用人工智能公共数据库提取的大数据进行了分析,该研究特点是全部使用临床指标,而不是临床不常用的生物学指标研究将患者分为Ⅰ型Ⅱ型Ⅲ型Ⅰ型患者少有实验室指标异常和器官功能衰竭。Ⅱ型患者比较年轻,白细胞体温心率和呼吸频率升高血压偏低,Ⅲ型患者主要是老年人伴肌酐和BUN升高,碳酸氢盐较低其中,Ⅲ型患者预后最差研究也对不同分型对治疗的反应进行了分析。Ⅱ型Ⅲ型患者对PEEP的反应没有显著差异,但Ⅰ型患者使用较高的PEEP生存率下降。在液体治疗反应方面,保守性或开放性液体治疗Ⅰ型患者的预后影响不大,Ⅱ型Ⅲ型患者的预后存在一定差异。所以,对于不同分型患者,治疗策略有所不同


图片

图片

图片


图源:Crit Care, 2021, 25(1):320.



图片

小结




ARDS根据其不同特征可分为不同亚型,对不同亚型的潜在生物学机制仍需进一步研究,以期能够指导精准治疗。如何快速正确识别亚型目前仍较为困难尤其涉及一些不常用的实验室指标,临床实践也存在一定困难。临床分型指导个体化治疗,大多回顾性研究数据的二次分析,少有前瞻性研究来证实,所以今后开展前瞻性研究进一步论证



作者简介




图片

余荷

四川大学华西医院


  • 四川大学华西医院呼吸与危重症医学科副主任医师
  • 中华医学会呼吸病学分会呼吸危重症学组委员
  • 四川省国际医学交流促进会呼吸与危重症医学专业委员会常务委员
  • 四川省国际医学交流促进会重症医学专业委员会青年委员
  • 四川省老年医学会重症专业委员会常务委员
  • 四川省医学会重症医学专业委员会青年委员
  • 四川省医师协会第三届重症医学医师分会委员
  • 发表SCI论文及核心期刊论文20余篇,参编专著3部
  • 作为研究者参与多项临床及GCP研究
  • 作为负责人承担四川省科技厅项目2项作为分中心负责人承担国家重点研发项目子课题研究1项



*本文根据“呼吸危重症菁英秀”第一期专题视频整理感谢余荷教授予以审核。


全部评论 0
Copyright©2020-2026 北京医麦斯科技有限公司 版权所有 京ICP备2020034400号-1 京公网安备11010502043983号