登录方式

方式一:
PC端网页:www.rccrc.cn
输入账号密码登录,可将此网址收藏并保存密码方便下次登录

方式二:
手机端网页:www.rccrc.cn
输入账号密码登录,可将此网址添加至手机桌面并保存密码方便下次登录

方式三:
【重症肺言】微信公众号
输入账号密码登录

注:账号具有唯一性,即同一个账号不能在两个地方同时登录。

登录
方式

为重症救治赋能

为患者康复加速

当前位置: 首页 呼吸e站 经典推荐

ARDS的死腔,被忽视的一环

黄絮 中日友好医院呼吸与危重症医学科MICU 发布于2025-09-01 浏览 2134 收藏

作者:黄絮

单位:中日友好医院呼吸与危重症医学科MICU

图片

急性呼吸窘迫综合征ARDS)是临床常见的危重症,其严重程度和预后评估传统上依赖氧合指数(PaO2/FiO2),但该指标受多种因素干扰,存在明显的局限性。死腔通气作为反映肺通气-灌注失衡的重要指标,在ARDS的病情评估、预后判断及治疗指导中具有不可忽视的价值。本文系统阐述死腔的定义、测定方法,分析ARDS中死腔的变化规律及其与预后的关联,并探讨死腔指标在PEEP设置、俯卧位治疗、体外二氧化碳清除(ECCO2R)及体外膜氧合(ECMO)撤机等临床决策中的应用,旨在为ARDS的精准管理提供新视角。




一、什么指标体现ARDS严重程度和预后?

ARDS的定义历经多次更新,从1967年首次描述到2012年柏林定义,氧合指数(PaO2/FiO2)始终是诊断和严重程度分级的核心指标。柏林定义将ARDS分为轻度(200 mmHg<PaO2/FiO2≤300 mmHg)、中度(100 mmHg<PaO2/FiO2≤200 mmHg)和重度(PaO2/FiO2100 mmHg),并结合胸部影像、肺水肿原因等标准进行界定。

然而,氧合指数存在显著缺陷:其结果受吸入氧浓度(FiO2)和呼气末正压(PEEP)影响显著。早在2007年就有研究发现,同一患者在不同FiO2PEEP设置下,氧合指数可出现大幅波动,导致病情评估偏差。有诸多因素会影响氧合指数,因此,其对于预后的指导作用具有一定的局限性。此外,ARDS具有高度异质性,胸部CT显示重力依赖区以分流为主,而非重力依赖区存在大量死腔通气,后者常被临床忽视却与病情严重度密切相关。因此,死腔通气指标逐渐成为弥补氧合指数局限性的重要补充。



二、死腔是什么?

1. 死腔的概念

死腔通气指进入呼吸系统但未参与气体交换的通气量,包括解剖死腔(气道内未参与交换的气体)和肺泡死腔(肺泡通气正常但灌注不足导致的无效交换)。

2. 病理生理机制

ARDS中死腔增加的核心机制包括:①肺循环障碍:血栓形成、炎症因子介导的内皮损伤导致肺灌注受损,肺泡血流减少,通气-灌注比(V/Q)失衡;②右心功能不全:急性肺动脉高压加重肺血流梗阻,进一步增加死腔;③肺泡通气异常:肺泡过度膨胀或毛细血管阻力增加,导致相对灌注不足。



三、什么指标能体现死腔?


1. 核心指标

1)死腔分数(VD/VT):最经典指标,反映无效通气(VD)占潮气量(VT)的比例。

2)呼气末二氧化碳分压/动脉血二氧化碳分压(PETCO2/PaCO2):比值降低提示死腔增大。

3)动脉-呼气末二氧化碳分压差(Pa-ETCO2):差值>5 mmHg提示死腔增大。

4)二氧化碳生成量(VCO2):单位时间内机体组织产生二氧化碳的多少,反映机体代谢功能的常用指标。

5)通气比(VR):VEPaCO2的实测值与预测值之间的比率,用于描述通气效率。

2. 死腔测量方法

方法一:Bohr和Enghoff公式

1891年,Bohr提出VD/VT的计算公式:

VD/VT=(PACO2-PECO2/PACO2

其中,PACO2为肺泡二氧化碳分压,PECO2为混合呼出气二氧化碳分压。

但在临床实践中,由于PACO2难以直接测定,而二氧化碳具有良好的弥散特性,默认PaCO2近似等于PACO2。因此,1938年,Enghoff修正了这一公式,以PaCO2替代PACO2

VD/VT=(PaCO2-PECO2/PaCO2

但这种近似假设存在局限性,其前提是PaCO2PACO2完全一致,但在存在肺内分流的情况时,该前提不成立。当患者存在分流时,动脉血中二氧化碳因分流的静脉血混入而相对升高,而呼出气体中二氧化碳排出受影响、浓度相对更低,此时PaCO2会高于实际肺泡呼出的二氧化碳分压(如呼气末二氧化碳分压可一定程度反映),若仍用PaCO2替代计算,就会高估死腔通气量,需结合临床具体情况修正评估。

正常人VD/VT≤0.3,而ARDS患者因肺循环障碍、内皮功能损伤等原因,VD/VT可升至0.3~0.6,甚至更高。

除传统死腔测量方法外,临床还可借助PETCO2PaCO2的关联进行替代评估。因死腔增大时,呼出气体中二氧化碳排出受影响,PETCO2会相对降低。具体而言:若PETCO2/PaCO2比值<1,提示可能存在死腔增大;若Pa-ETCO25 mmHg,也提示可能死腔增大。这类基于PETCO2的评估方式,在临床配备呼气末二氧化碳监测条件时,应用较为便捷、常用。

方法二:容积二氧化碳图(Vcap)

当我们呼出气体时,可绘制二氧化碳容积变化曲线。以图1中灰色曲线为例,其下方面积对应呼出气二氧化碳的总体含量。通过特定公式VD/VT=1−(VCO2×0.863)/(MV×PaCO2)计算,VD/VTVCO2MV及PaCO2存在线性关联。

图片

1  二氧化碳容积变化曲线

相较于前述死腔测量方法,容积二氧化碳图的优势在于可以更精准区分肺泡死腔与解剖死腔:以图2中曲线上升段斜线的终点为界,能清晰划分解剖死腔(如Z区域)与肺泡死腔(如Y区域)的范围。结合公式定量计算,从解剖-功能层面精准解析死腔构成,为临床评估肺通气效率、识别病理生理状态(如肺血流灌注异常等),提供了更具针对性的监测手段。

图片

2  容积二氧化碳图

方法三:简易计算法

前述死腔测量方法,需依赖呼气末二氧化碳监测或呼吸机的二氧化碳容积图。但对于不具备这些条件的ICU,能否用现有简单指标评估死腔呢?答案是肯定的。

从公式VD/VT=1−(VCO2×0.863)/(MV×PaCO2可知,死腔与MV、PaCO2呈线性关联。基于此,可衍生出通气比(VR)这一指标,用于评价患者呼出二氧化碳的效率,其公式为:

图片

其中,MV预测=理想体重×100 [ml/(kg·min)]PaCO2理想=37.5 mmHg

理解VR可从死腔本质出发:若无死腔,每一次通气都能高效交换二氧化碳,此时MV实测MV预测PaCO2实测PaCO2理想应完全匹配,VR趋近于1;当存在死腔时,部分通气因无法参与气体交换被“浪费”,为维持PaCO2稳定,机体需增加MV,或相同MV下PaCO2会升高。反映在公式中,MV实测×PaCO2实测会相对增大,导致VR升高VR越高,提示死腔量可能越大。VR正常值为1;对于ARDS患者,若VR>2,提示死亡率显著升高,说明VR可作为评估病情严重程度与预后的重要参考。

前面介绍了多种死腔相关的测定方法与指标,临床中该如何运用死腔相关知识呢?我们通过案例说明。假设收治一位ARDS患者:青年男性,理想体重(PBW)70 kg,有创通气15天设置PSV参数为:PS 12 cmH2OPEEP 7 cmH2OFiO2 0.4;监测MV 13 L/minVT 500 mlRR 26次/min,动脉血气:pH 7.28PaCO2 65 mmHgPaO2 80 mmHg。临床困惑在于:MV看似充足,为何PaCO2仍居高不下?此时,代入VR计算公式,得出结果3.57,这远高于正常值1,提示患者存在高死腔通气,这正是“通气量充足但PaCO2升高”的核心原因。通过死腔相关指标分析,可精准定位ARDS患者气体交换障碍的病理机制,为后续调整通气策略(如优化PEEP、改善肺灌注等)提供依据。



四、ARDS死腔如何变化?

基于179例ARDS病例的研究显示ARDS患者VD/VT与病死率存在显著关联,其死腔通气呈现以下特征:

1)基线水平高:早期平均VD/VT可达58%±9%,显著高于正常人。

2)稳定性好:24小时内VD/VTVR变化较小,较氧合指数更稳定,更适合动态评估病情。VD/VT与病死率近乎线性相关,至VD/VT每增加0.05,病死率可以增加45%左右。

3)与严重度相关:重度ARDS患者VD/VT显著高于轻、中度患者,且随病情进展进一步升高。研究显示:生存者与死亡者的VD/VT存在明显差异,分别为0.54和0.63,提示VD/VT越高,患者死亡风险越高。



五、死腔与ARDS预后的关联

大量研究证实,死腔指标是ARDS预后的独立预测因子。

2023年发表的Meta分析纳入21项ARDS相关研究,分析死腔与ARDS预后的关联:高死腔量(VD/VT0.57)使患者死亡风险增加3.52倍,死腔每增5%,死亡率升高23%,且实测VD/VT对预后的预测价值优于估算值;文中森林图呈现VR与预后的关系,VR越高(菱形偏右侧),死亡风险越高,VR>1.7时,死亡风险额外增加30%。另一项研究去除功能残气量、顺应性、PEEP等预后混杂因素后,仍发现VR或VD/VT与患者预后相关,是独立影响因子。2021年发表的研究用氧合指数和死腔对ARDS患者进行纵向分类,氧合指数因受PEEP、FiO2影响,0小时与24小时差异大,短期波动致难稳定预测病死率,且分组后与预后无明确关联;而VR或VD/VT分组,患者预后差异明显,VR稳定者预后好,VR显著升高者预后差,且死腔指标24小时内波动小,是更稳定、更能预测预后的指标。



六、死腔指导ARDS的临床治疗

1. 指导PEEP设置

1975年N Engl J Med 杂志发表的一项研究纳入15例呼吸衰竭机械通气患者,设置PEEP为0~15 cmH2O。由图3中虚线可见,死腔最低时,对应肺顺应性最高、心排出量最佳,这为确定最佳PEEP提供了指导依据。

图片

3  死腔指标指导最佳PEEP设置

图源:N Engl J Med, 1975, 292(6):284-289. 

东南大学附属中大医院的一项小型队列研究纳入23例ARDS患者进行PEEP滴定,结果发现当PEEP为20 cmH2O(即VD/VT最低水平)时,患者肺顺应性更佳,二氧化碳水平也处于最低状态。可见通过监测死腔相关指标(如VD/VT)来优化PEEP设置,是兼具理论依据与实践验证的有效策略,可助力精准调控呼吸支持参数。

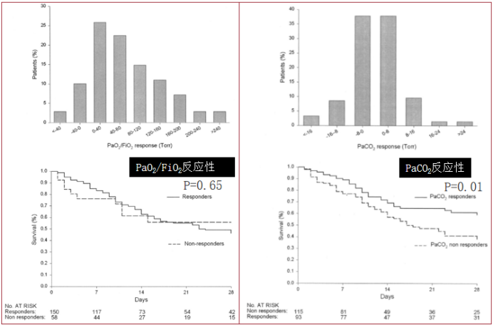
2. 俯卧位治疗

俯卧位通气与患者病死率密切相关,但进一步研究表明,俯卧位时氧合变化与病死率的关联并不显著,反而二氧化碳相关指标的变化与预后更密切。如图4示:左侧氧合指数在俯卧位前后的变化与预后关系不大,而右侧PaCO2的变化与预后关联更显著。

图片

4  氧合指数与二氧化碳分压与预后的关系

图源:Crit Care Med, 2003, 31:2727-2733. 

此外,其他研究也证实,在急性呼吸衰竭患者接受俯卧位通气及肺复张治疗时,氧合指数对肺可复张性的预测价值不及二氧化碳相关指标。因此,俯卧位通气期间,相较于氧合指数,临床更应关注二氧化碳水平及死腔变化。另有回顾性研究显示,相较于氧合指数,VR能更精准地预测患者预后,包括病死率、无呼吸机使用时间及撤机成功率,进一步凸显了死腔及二氧化碳相关指标在评估俯卧位通气疗效中的重要性。

3. ECCO2R患者选择

研究通过分析临床生理指标(包括死腔指标、氧合指数等)与体外二氧化碳清除(ECCO2R)治疗后潮气量的关系发现:氧合指数与潮气量无显著关联,而VR及预测VD/VT均与潮气量显著相关。同时,VR和预测VD/VT还与驱动压相关VR及VD/VT处于较低水平时,驱动压相对更小,更符合肺保护性通气策略;相比之下,氧合指数的变化与上述指标无明显关联。由此可见,死腔相关指标(VR、VD/VT)不仅有助于识别ECCO2R潜在获益人群,还可以辅助预测二氧化碳清除所需的支持力度,为临床决策提供参考。

4. 指导ECMO撤机

Al-Fares等研究发现VR可用于预测安全撤离VV-ECMO的可能性,若夹气试验后VR>2.3,成功撤机的可能性低(敏感度为100%,特异度为81%)。Lazzari等证明了较低的基线PETCO2/PaCO2对撤机的不利影响,其最佳cut-off值为0.84(敏感度为92%,特异度为80%)。因此,当代表自体肺气体交换功能的死腔通气相关指标改善时,是VV-ECMO安全撤离的最佳时机。

5. 未来研究方向

VD/VT0.6或VR>2.0 时,可用于评估疾病预后,同时有助于早期识别需转诊至重症呼吸衰竭专科单元的患者,或提示可能从俯卧位通气、VV-ECMO等辅助治疗中获益的人群。



七、总结与展望

综上所述,死腔作为除分流外的重要指标,能有效反映ARDS的严重程度并预测预后。其测定方法多样,包括VD/VTPa-ETCO2PETCO2/PaCO2VCO2以及VR在临床应用中,死腔的价值不仅体现在评估ARDS患者预后方面,还能为最佳PEEP的设定提供依据,辅助判断俯卧位通气的疗,同时有助于筛选适合接受ECCO2R或VV-ECMO的患者,并为ECMO的撤机决策提供参考。未来需要进一步探索死腔指标与其他监测手段的结合,以优化ARDS患者的临床结局。

参考文献


向下滑动查看全部】

[1] Ashbaugh DG, Bigelow DB, Petty TL, et al. Acute respiratory distress in adults[J]. Lancet, 1967, 2(7511):319-323. 

[2] Murray JF, Matthay MA, Luce JM, et al. An expanded definition of the adult respiratory distress syndrome[J]. Am Rev Respir Dis, 1988, 138(3):720-723.

[3] Bernard GR, Artigas A, Brigham KL, et al. Report of the American-European consensus conference on ARDS: definitions, mechanisms, relevant outcomes and clinical trial coordination. The Consensus Committee[J]. Intensive Care Med, 1994, 20(3):225-232. 

[4] Ferguson ND, Fan E, Camporota L, et al. The Berlin definition of ARDS: an expanded rationale, justification, and supplementary material[J]. Intensive Care Med, 2012, 38(10):1573-1582. 

[5] Villar J, Pérez-Méndez L, López J, et al. An early PEEP/FIO2 trial identifies different degrees of lung injury in patients with acute respiratory distress syndrome[J]. Am J Respir Crit Care Med, 2007, 176(8):795-804.

[6] Sinha P, Fauvel NJ, Singh S, Soni N. Ventilatory ratio: a simple bedside measure of ventilation[J]. Br J Anaesth, 2009, 102(5):692-697. 

[7] Nuckton TJ, Alonso JA, Kallet RH, et al. Pulmonary dead-space fraction as a risk factor for death in the acute respiratory distress syndrome[J]. N Engl J Med, 2002, 346(17):1281-1286.

[8] Jayasimhan D, Chieng J, Kolbe J, et al. Dead-Space Ventilation Indices and Mortality in Acute Respiratory Distress Syndrome: A Systematic Review and Meta-Analysis[J]. Crit Care Med, 2023, 51(10):1363-1372. 

[9] Bos LDJ, Sjoding M, Sinha P, et al. Longitudinal respiratory subphenotypes in patients with COVID-19-related acute respiratory distress syndrome: results from three observational cohorts[J]. Lancet Respir Med, 2021, 9(12):1377-1386.

[10] Morales-Quinteros L, Schultz MJ, Bringué J, et al. Estimated dead space fraction and the ventilatory ratio are associated with mortality in early ARDS[J]. Ann Intensive Care, 2019, 9(1):128.

[11] Suter PM, Fairley B, Isenberg MD. Optimum end-expiratory airway pressure in patients with acute pulmonary failure[J]. N Engl J Med, 1975, 292(6):284-289. 

[12] Tusman G, Gogniat E, Madorno M, et al. Effect of PEEP on Dead Space in an Experimental Model of ARDS[J]. Respir Care, 2020, 65(1):11-20. 

[13] Fengmei G, Jin C, Songqiao L, et al. Dead space fraction changes during PEEP titration following lung recruitment in patients with ARDS[J]. Respir Care, 2012, 57(10):1578-1585. 

[14] Guérin C, Reignier J, Richard JC, et al. Prone positioning in severe acute respiratory distress syndrome[J]. N Engl J Med, 2013, 368(23):2159-2168. 

[15] Lemasson S, Ayzac L, Girard R, et al. Does gas exchange response to prone position predict mortality in hypoxemic acute respiratory failure?[J]. Intensive Care Med, 2006, 32(12):1987-1993. 

[16] Protti A, Chiumello D, Cressoni M, et al. Relationship between gas exchange response to prone position and lung recruitability during acute respiratory failure[J]. Intensive Care Med, 2009, 35(6):1011-1017. 

[17] Goligher EC, Combes A, Brodie D, et al. Determinants of the effect of extracorporeal carbon dioxide removal in the SUPERNOVA trial: implications for trial design[J]. Intensive Care Med, 2019, 45(9):1219-1230. 



作者介绍

图片

黄絮

中日友好医院呼吸与危重症医学科,主任医师、副教授、硕士生导师、医学博士;中华医学会呼吸病学分会呼吸治疗学学组委员,中国医学装备协会呼吸病学装备技术专业委员会委员,中国研究型医院学会第二届呼吸病学专业委员会委员,中国老年学和老年医学学会老年呼吸与危重症医学分会委员,中国康复医学会呼吸康复专业委员会呼吸与危重症医学学组委员,研究方向为ARDS、重症营养;担任国家科技重大专项、国家重点研发计划课题负责人,参与“十三五”“十四五”“国自然”项目,在Critical Care、Thorax 等杂志发表文章20余篇。

图片

声明:

本文仅用于学术内容的探讨和交流,不用于任何商业和推广,亦不作为最终的临床决策。临床实践需根据患者的具体情况选择适宜的处理措施。


全部评论 0
Copyright©2020-2026 北京医麦斯科技有限公司 版权所有 京ICP备2020034400号-1 京公网安备11010502043983号