登录方式

方式一:
PC端网页:www.rccrc.cn
输入账号密码登录,可将此网址收藏并保存密码方便下次登录

方式二:
手机端网页:www.rccrc.cn
输入账号密码登录,可将此网址添加至手机桌面并保存密码方便下次登录

方式三:
【重症肺言】微信公众号
输入账号密码登录

注:账号具有唯一性,即同一个账号不能在两个地方同时登录。

登录
方式

为重症救治赋能

为患者康复加速

当前位置: 首页 呼吸e站 经典推荐

呼吸力学导向的ARDS个体化通气策略

王睿 首都医科大学附属北京朝阳医院呼吸与危重症医学科 发布于2023-03-10 浏览 7910 收藏

作者:王睿

单位:首都医科大学附属北京朝阳医院呼吸与危重症医学科
ARDS肺保护性通气策略涵盖小潮气量通气策略(VT 6 ml/kg PBM),限制平台压(Pplat25~30 cmH2O,允许性高碳酸血症,肺开放通气策略。对于呼气末正压(PEEP)水平的滴定,观点不一,有学者认为可能需要稍高水平的PEEP,也有学者认为应个体化设置PEEP,包括通过跨肺压监测、肺复张手法以及电阻抗断层成像(EIT)滴定PEEP等。
为了优化肺保护性通气策略,呼吸力学监测必不可少,除了常规的压力和潮气量等参数外,较新的呼吸力学监测指标包括驱动压、动态驱动压、跨肺压、跨肺驱动压、应力(stress)、应变(strain)和机械能(MP)。

一、驱动压

驱动压(ΔP)是Pplat与PEEP的差值(ΔP=Pplat -PEEP),是形成潮气量的压力。呼吸系统顺应性(CRS)的计算公式为VT除以(Pplat-PEEP),此公式变换之后得出驱动压等于VT除以CRS。对于某一患者来说,其对潮气量的需求相对固定(如500 ml),如果该患者的呼吸系统顺应性越大,则驱动压越小,反之则越大,也就意味着,如果我们测得该患者的呼吸系统顺应性极低,则其驱动压要很高才能维持所需的潮气量,提示患者病情非常严重。
图片
驱动压与应变有一定的相关性。尽管“应变”是一个物理概念,但其已经被引用到呼吸力学中有很多年。应变是指物体受力变形时,变形量与原尺寸的比值,在呼吸力学中,应变即为潮气量除以功能残气量(VT/FRC)。对于罹患各种疾病的患者来说,我们通常将功能残气量替换为呼气末肺容积(EELV)。研究证实,功能残气量与呼吸系统顺应性之间具有一定的相关性,患者功能残气量越小,呼吸系统顺应性越差,反之亦[1]。所以,驱动压反映的是患者应变的水平,驱动压越大,说明患者通气时的应变越大,肺损伤风险越高。正常人的功能残气量约为2000 ml,潮气量为500 ml,应变为0.2。如果病情加重,功能残气量下降,应变可从0.2升高至0.5,则肺损伤风险显著增加。2015年发表在N Engl J Med 的文献显示,当驱动压>15 cmH2O,患者病死率明显升高,所以驱动压控制在15 cmH2O以内相对安全[2]


图片

图源:N Engl J Med, 2015, 372(8):747-755.
驱动压受很多因素影响,包括呼吸系统顺应性、胸廓顺应性、肺顺应性、平台压、潮气量、镇静肌松药物、自主呼吸用力以及体位等。对于肥胖患者,其胸廓顺应性很差,驱动压无法区分胸廓顺应性和肺顺应性。所以,对于肥胖的ARDS患者,控制驱动压似乎并不能降低病死率[3]。因此,驱动压在临床应用中仍存在一定的局限性。

图片

图源: Intensive Care Med, 2018, 44(7):1106-1114.

二、跨肺压

为了弥补驱动压的不足,我们经常会监测跨肺压(PL),因为跨肺压可以区分胸壁顺应性和肺顺应性。跨肺压等于气道压(Paw)与胸腔内压(Ppl)之差(PL=Paw-Ppl)[4]。跨肺压其实就是我们所说的“应力(stress)”,指的是单位面积上承受的对抗力。

图片

图源:Am J Respir Crit Care Med, 2021, 204(10):1120-1121.
将食道测压管置入食道中下1/3即可测量跨肺压,用食道压(Pes)代替胸腔内压,从呼吸机参数上读取气道压,二者相减即得到跨肺压。
下图是吸气末和呼气末跨肺压的监测图,可以看到,呼气末跨肺压是用PEEP(14 cmH2O)减去食道压(18 cmH2O),结果为-4 cmH2O;吸气末跨肺压是气道压(35 cmH2O)减去食道压(25 cmH2O),结果为10 cmH2O
图片
2008年Talmor教授团队发表在N Engl J Med 的文章告诉我们,调节PEEP使呼气末跨肺压在0~10 cmH2O之间,同时限制潮气量使吸气末跨肺压≤25 cmH2O,能够显著改善患者氧合和呼吸系统顺应性,有降低死亡率的趋势[5]。自此开始,跨肺压就被引入到了肺保护性通气相关呼吸力学体系中,也提示我们跨肺压指导的机械通气策略似乎是有益的。
朝阳医院RICU使用跨肺压监测实现ECMO支持的ARDS患者个体化的通气参数设置,我们试图保留“肺休息”策略,限制平台压和潮气量,但又认为“肺休息”策略的PEEP设置太低,经常会导致肺泡塌陷,所以为了避免肺泡塌陷,我们就通过跨肺压监测来滴定PEEP,使呼气末跨肺压大于零,如此就避免了PEEP所致的肺萎陷。PEEP设置使呼气末跨肺压在0~5 cmH2O之间气道峰压≤25 cmH2O,吸气末跨肺压≤20 cmH2O,兼顾了“肺休息”和“肺保护”。该研究纳入重度ARDS接受VV-ECMO治疗患者115例,最终入组104例,随机分为跨肺压组(52例)和肺休息组(52例)。结果发现,跨肺压组患者在ECMO支持过程中的PEEP水平明显高于肺休息组,驱动压和机械能明显低于肺休息组,跨肺压组ECMO的撤机成功率明显高于肺休息组,病死率明显低于肺休息组[6]

对于VV-ECMO治疗的重度ARDS,跨肺压指导的机械通气策略能够稳定肺泡形态,减少呼吸机相关性肺损伤,有助于肺脏病变的恢复,最终提高VV-ECMO的成功撤机率。

三、跨肺驱动压

跨肺驱动压(ΔPL)是吸气末跨肺压减去呼气末跨肺压,是每一次患者吸呼气时,作用于肺泡上的压力差值。从图形上可以看到,吸气末跨肺压是33.5 cmH2O,呼气末跨肺压是-10.1 cmH2O,则跨肺驱动压为43.6 cmH2O。对于该患者来说,吸呼气之间作用于肺泡上的压力差值为43.6 cmH2O,肺损伤风险非常高。
图片
跨肺驱动压可以区分肺顺应性和胸壁顺应性,且不受二者的影响,所以能够真实反映肺泡应力。有研究观察跨肺驱动压对ARDS患者病死率的影响,结果发现存活组患者跨肺驱动压在治疗24 h后明显下降[7]

四、机械能

机械能将所有呼吸力学监测数据(容积、压力、频率)归纳到一个公式中,了解呼吸机每分钟对患者的肺做了多少功,做功越多,肺损伤的风险越大。通过单一指标(如跨肺压、驱动压)评价肺损伤,其预测性都不尽如意,存在不足,所以考虑将所有指标融合在一起,能否更好地反映肺损伤,利用机械能这一指标判断患者呼吸参数设置是否合适以及是否需要调整。


图片
对于容控和压控分别有各自的估算公式。个人认为,容控的估测公式相对比较准确,压控的估测公式计算的结果可能会高估机械能,准确性略差。
Mechanical power(VCV)=0.098 × VT ×(Ppeak- ΔP/2)× RR
Mechanical power(PCV)=0.098 × VT ×(ΔP + PEEP)× RR
机械能与呼吸机相关性肺损伤(VILI)之间的关系,目前的结论不一致。动物实验发现,机械能>12 J/min,就会导致VILI;而临床试验发现,机械能>17 J/min,患者病死率增加。也有学者认为,单纯通过机械能的高低不能预测病死率。有研究利用标准体重(或预测体重)来标准化机械能,结果显示用预测体重标准化的机械能是预后的独立危险因素[8]。近期研究结论为:机械能与病死率不存在因果关系,通气良好肺组织重量和呼吸系统顺应性标准化的机械能与ARDS病死率独立相关[9]
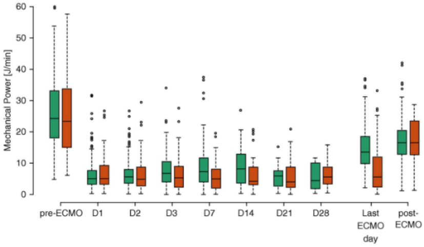
2019年发表于Am J Respir Crit Care Med 的一项国际多中心前瞻性队列研究分析了ARDS患者ECMO上机之后机械能的变化,发现ECMO上机之前患者的机械能在24 J/min左右,ECMO上机之后,患者的机械能降至4~5 J/min,建立ECMO后机械能显著下降[10],可见ECMO能充分做到“肺保护”和“肺休息”。


图片

图源:Am J Respir Crit Care Med, 2019, 200(8):1002-1012.
我们团队的研究也显示,患者机械能由ECMO上机之前的26.5±7.4 J/min下降至ECMO上机之后的5.3±3.1 J/min,维持这一水平,患者肺脏才有可能逐渐恢复。
图片

五、小结

小潮气量、限制平台压、稍高PEEP是肺保护性通气策略的主要内容,其中的“小潮气量”临床中有时做得不够充分。驱动压与顺应性有关,其比单纯的潮气量和平台压更具有代表性和预测性。跨肺压目前应用很广泛,主要用于指导PEEP的设定,合适的PEEP能够保证呼气末肺泡不塌陷。将跨肺压指导的通气策略用于ECMO治疗的ARDS患者中,能够降低患者病死率。机械能是一个综合的物理量,高机械能对预后不利,但单纯机械能这一指标与患者预后的相关性并不是很好,“标准化”后的机械能可能对评估预后有所帮助。如果患者机械能>17 J/min,出现肺损伤的风险将会增加。

参考文献

[1] Xie J, Jin F, Pan C, et al. The effects of low tidal ventilation on lung strain correlate with respiratory system compliance[J]. Crit Care, 2017, 21(1):23. 

[2] Amato M B P, Meade M O, Slutsky A S, et al. Driving pressure and survival in the acute respiratory distress syndrome[J]. N Engl J Med, 2015, 372(8):747-755.

[3] De Jong A, Cossic J, Verzilli D, et al. Impact of the driving pressure on mortality in obese and non-obese ARDS patients: a retrospective study of 362 cases[J]. Intensive Care Med, 2018, 44(7):1106-1114.

[4] Ranieri V M, Tonetti T, Nava S. Transpulmonary Pressure to Guide Mechanical Ventilation: Art or Science?[J]. Am J Respir Crit Care Med, 2021, 204(10):1120-1121.

[5] Talmor D, Sarge T, Malhotra A, et al. Mechanical ventilation guided by esophageal pressure in acute lung injury[J]. N Engl J Med, 2008, 359(20):2095-2104.

[6] Wang R, Sun B, Li X, et al. Mechanical Ventilation Strategy Guided by Transpulmonary Pressure in Severe Acute Respiratory Distress Syndrome Treated With Venovenous Extracorporeal Membrane Oxygenation[J]. Crit Care Med, 2020, 48(9):1280-1288. 

[7] Baedorf Kassis E, Loring S H, Talmor D. Mortality and pulmonary mechanics in relation to respiratory system and transpulmonary driving pressures in ARDS[J]. Intensive Care Med, 2016, 42(8):1206-1213. 

[8] Zhang Z, Zheng B, Liu N, et al. Mechanical power normalized to predicted body weight as a predictor of mortality in patients with acute respiratory distress syndrome[J]. Intensive Care Med, 2019, 45(6):856-864. 

[9] Coppola S, Caccioppola A, Froio S, et al. Effect of mechanical power on intensive care mortality in ARDS patients[J]. Crit Care, 2020, 24(1):246.

[10] Schmidt M, Pham T, Arcadipane A, et al. Mechanical Ventilation Management during Extracorporeal Membrane Oxygenation for Acute Respiratory Distress Syndrome. An International Multicenter Prospective Cohort[J]. Am J Respir Crit Care Med, 2019, 200(8):1002-1012. 

作者简介



图片

王睿
首都医科大学附属北京朝阳医院呼吸与危重症医学科,博士,副主任医师,讲师,中国医师协会体外生命支持专业委员会青年委员。从事呼吸重症专业工作10余年,擅长重症肺炎的救治,熟练掌握体外膜肺氧合(ECMO)的建立和管理。入选青海省“昆仑人才·高端创新创业人才”。主持和参与多项ECMO相关研究,并在国际知名重症医学杂志和北大核心期刊发表多篇学术论文。

【注:本文仅用于学术内容的传播和交流,不用于任何商业和推广】

全部评论 0
Copyright©2020-2026 北京医麦斯科技有限公司 版权所有 京ICP备2020034400号-1 京公网安备11010502043983号