登录方式

方式一:
PC端网页:www.rccrc.cn
输入账号密码登录,可将此网址收藏并保存密码方便下次登录

方式二:
手机端网页:www.rccrc.cn
输入账号密码登录,可将此网址添加至手机桌面并保存密码方便下次登录

方式三:
【重症肺言】微信公众号
输入账号密码登录

注:账号具有唯一性,即同一个账号不能在两个地方同时登录。

登录
方式

为重症救治赋能

为患者康复加速

当前位置:首页 脏器支持 有创通气

人工智能促进机械通气管理

陶程 中日友好医院呼吸与危重症医学科 发布于2024-11-28 浏览 2789 收藏

作者:陶程


单位:中日友好医院呼吸与危重症医学科
图片
一、人工智能


人工智能(artificial Intelligence, AI)是通过计算机程序或机器来模拟、实现人类智能的技术和方法,其在语音识别、图像识别、自然语言处理、智能交互、自动驾驶、医疗健康等领域有着广泛的应用,已成为推动社会进步和经济发展的重要力量。AI技术的核心在于机器学习(machine learning, ML)和深度学习(deep Learning, DL)等算法。ML是AI的一个子集,核心在于不需要人类做显式编程,而是让计算机通过算法自行学习和改进,去识别模式、做出预测和决策。DL是ML的一种方法,核心在于使用人工神经网络模仿人脑处理信息的方式,通过层次化的方法提取和表示数据的特征。
图片
人工智能、机器学习和深度学习的关系
机器学习分为三种类型,分别是监督学习(supervised learning, SL)、无监督学习(unsupervised learning, UL)和强化学习(reinforcement learning, RL)。SL指的是使用标记数据集来训练算法,以便训练后的算法可以对数据进行分类或准确预测结果;UL是指用算法来分析并聚类未标记的数据集,以便发现数据中隐藏的模式和规律,而不需要人工干预;RL则是基于反馈的学习方法,对算法执行的正确和不正确行为分别进行奖励和惩罚的制度,目的是使算法获得最大的累积奖励,从而学会在特定环境下做出最佳决策。
图片
机器学习的类型
图片
监督学习
图片
无监督学习
图片
强化学习
一方面,ICU每天不断生成大量的临床、生理和实验室数据,但目前大部分数据都未得到充分利用,这些数据将在24~48 h内失去价值;另一方面,ICU中患者病情重,变化快,需要“实时”数据来驱动AI算法,并且学习方法需要适应临床管理的快速变化。所以ICU与AI可谓是“天生一对”。ICU对AI有很大的需求,而AI在ICU中也拥有巨大的发展空间,例如:协助疾病识别、预测疾病进展、分析疾病表型、识别复杂数据中的独特模式并指导临床决策。
图片
二、机械通气与人工智能


自从1952年脊髓灰质炎大流行使正压通气重回大众视野以来,70多年里机械通气技术已经取得巨大进步。与以前相比,现在的机械通气设备更加轻巧便携,更易操作,监测系统更加先进,设计更加智能化。在未来,AI有望根据患者生理特征和正在接受治疗的特定情况,为个体患者量身定制呼吸机设置,即实现“个体化通气”。例如,我们希望AI可以用来实时监测患者,预测患者何时可能经历呼吸窘迫,这样可以使医疗专业人员能够在危机发生之前进行干预,改善患者的预后,减少紧急干预的需要。事实上,我们期待的这种“未来”也正在到来。
查阅文献发现,在过去10年间关于机械通气与AI的论文发表数量逐年增加,尤其是2016年以后,论文发表数量呈指数增加趋势。这些论文比较集中的主题是预测机械通气需求、预测机械通气撤机成功、预测通气患者的并发症、检测人机不同步、临床决策支持。
1. 预测机械通气需求
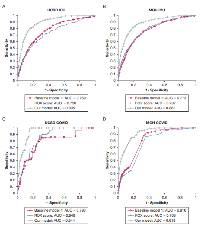
对于一些病情较重的患者,或许不可避免地要进行气管插管通气治疗。如果能客观、早期识别需要机械通气的住院患者,可能有助于及时治疗,并最终改善患者预后。有研究设计了一款深度学习模型,用于提前24 h预测住院患者对机械通气的需求。研究建立了一个观察性多中心队列(在2家医院的ICU中进行,首先用一家ICU的数据进行了模型的开发,然后用另一家ICU的数据进行了模型的验证)。下图A、B显示该模型提前24 h预测插管的能力显著高于ROX评分,曲线下面积(AUC)>0.8。研究者又将该模型在另一个前瞻性时间验证队列(COVID-19患者)中进行了验证,发现该模型的预测能力依然很好(AUC>0.9)(下图C、D)
图片
图源:Chest, 2021, 159(6):2264-2273.
该模型是通过哪些指标来预测患者对机械通气的需求的呢?研究列出了最具预测性的变量,包括:呼吸频率、心率、体温、氯离子、氧饱和度、血小板计数、pH和吸入氧浓度(FiO2)等。研究将每一项指标进行赋分, 阈值为0.03, 只要这些指标评分总和超过0.03, 就提示患者在未来24 h内很可能会插管。如下图红色曲线所示: 一位诊断COVID-19的中年女性因低氧血症入院, 在45 h左右(以蓝色箭头突出显示)跨越了预测阈值, 在第50小时左右需氧量和呼吸功增加、氧饱和度显著下降, 在第65小时患者出现快速进展的呼吸衰竭并进行了插管, 接受机械通气。对于该患者, 影响其插管的原因主要是心率、平均动脉压、FiO2、呼吸频率和氧饱和度等。该模型使用常见的临床数据预测住院患者未来对机械通气的需求, 可以部署在电子病历系统中实现实时实施, 从而增强临床医生的决策能力。
图片
图源:Chest, 2021, 159(6):2264-2273.
2. 优化参数设置
针对危重患者的个体化通气策略仍然是一个重大挑战。如果参数设置不当将导致诸多并发症,例如呼吸机相关性肺损伤(VILI)、血流动力学不稳定和氧毒性等。而且关于机械通气的参数设置并没有统一的路径,个体化设置需考虑多种因素,包括原发病、潮气量(VT)、驱动压、平台压、跨肺压、机械功、肺泡复张、气体交换、影像学指标、表型、生理获益等,临床中很难同时兼顾这些指标,并且呼吸机参数需要反复评估和动态调整,并不是一成不变的。此时,AI可以用于优化参数设置,支持最佳机械通气方案的选择。
有研究开发了使用强化学习模型的VentAI算法,这种算法是基于44个临床特征的“数据指纹”,包括三个维度:VT、PEEP和FiO2,目标是减少VILI,同时保证足够的氧合和通气。该算法使用基于90 d病死率的奖励/惩罚系统,对患者轨迹进行建模。如果患者幸存,训练模型将获得+100分的奖励;如果患者死亡,则将受到-100分的惩罚。结果显示:VentAI算法的估计表现回报显著高于医生的标准临床照护。以一例82岁男性患者为例,其因胸腔积液入住ICU,接受机械通气。下图蓝色为临床医生设置的参数,在整个725 h观察期内通气方案几乎没有变化。但VentAI能够动态探索各种呼吸机参数的设置,调整呼吸机设置的频率明显高于临床医生(25次 vs 5次),最终获得+98的奖励。该研究中VentAI的策略是:①更多使用低VT(5~7.5 ml/kg),较少使用高VT(10~12.5 ml/kg),无VT>15 ml/kg情况;②较少使用低于5 cmH2O的PEEP,较多使用高PEEP(5~7 cmH2O和7~9 cmH2O);③较少使用高FiO2(>55%),较多使用50%~55%的FiO2;④设置动作变化频次更多。因此,VentAI通过动态选择优化的个性化通气策略,可能有助于支持临床医生做出决策,从而在ICU环境中实现个性化医疗,可能使危重患者获益。
图片
图源:NPJ Digit Med, 2021, 4(1):32.
3. 预测撤机成功
在传统的机械通气撤机策略中,考虑撤机的患者通常会进行自主呼吸试验(SBT),该方法是目前最可靠的判断性测试。然而临床中有25%~40%的患者第一次SBT失败,10%~25%的患者拔管失败,需要重新插管。另一方面,一些成功撤机的患者也并非满足SBT的所有标准。例如,对于一些肥胖患者,PEEP稍高,也可以拔管;对于一些慢性Ⅰ型呼吸衰竭患者,氧浓度稍高,或者呼吸频率稍快,也可以拔管。所以,SBT通过不等于撤机成功,SBT不通过也不代表不能撤机,临床需要更加个体化、更具针对性的撤机筛查工具。
有研究使用卷积神经网络(CNN)建立了一种决策支持模型,用于预测机械通气脱机。该模型使用MIMIC-Ⅲ临床数据库开发,纳入2299例患者,包含人口统计学、生命体征和实验室指标等25个患者特征,具有3个主要功能。首先,CNN根据给定的患者状态预测下1 h内最合适的治疗行动(包括启动SBT或拔管),预测准确率达到86%,AUC为0.94。其次,进行特征重要性分析,列出CNN模型正在使用的具有临床意义的预测特征。特征重要性得分为正,支持继续机械通气;特征重要性得分为负,支持拔管;特征重要性得分接近0说明对预测结果影响不大。下图展示了一例患者的分析结果,可以看到正值特征的总和远远大于负值特征的总和,因此对该患者在接下来的1 h内的预测是将继续插管。再次,进行反事实解释,帮助医生理解如何通过改变特定特征来提高患者脱机成功的概率。例如,改变通气模式、呼吸频率和FiO2等特征可以显著改变模型的预测结果。通过特征重要性和反事实解释,模型的可解释性得到了增强,有助于医生理解和信任模型的预测结果。
图片
图源:Artif Intell Med. 2021 Jul;117:102087.
4. 监测人机不同步
人机不同步是临床中非常常见的现象,其通常通过视觉检查呼吸机波形来检测,但是临床工作人员不能每时每刻都在床旁看护,而且即便是由该领域的专家进行检测,其敏感性也较低,因此有很多人机不同步并没有及时被发现和解决。我们也可以借助AI解决这一问题。有研究建立了长短时记忆模型(LSTM)[是循环神经网络(RNN)的一个子类],通过气道压力、流量和容量的输入数据来估计肌肉压力(Pmus,近似于食道压),并将其与传统的呼吸机波形一起显示,以提高医护人员识别不同步的能力。
如下图所示,通过下方的模拟Pmus曲线可以判断左图为反向触发, 右图为双触发。但如果没有这一模拟Pmus曲线, 我们很难进行甄别。
图片
图源:Crit Care. 2023 Mar 30;27(1):128
同理,借助模拟Pmus曲线可以判断下图左为误触发,右为触发延迟。
图片
图源:Crit Care. 2023 Mar 30;27(1):128
该研究将98名ICU医师和呼吸治疗师随机分配到对照组和Pmus组,识别49种场景中的正常波形、无效努力、自动触发、双触发、反向触发、双切换反向触发、过早切换和过晚切换,结果显示Pmus组识别率显著高于对照组(65.8% vs 52.94%,P<0.001)。
流量饥渴是一种人机不同步类型, 发生在气流不足和/或高吸气努力而导致气体输送不能完全满足患者通气需求的情况下。这种现象通常通过目视检查气道压力波形来识别, 但临床诊断繁琐且易漏诊, 因此AI有潜力在此领域发挥作用。
有研究尝试开发一种监督AI算法,用于识别患者触发的方波辅助通气期间的气道压力变形。研究在2家医院的ICU进行,共分析了28例患者的6428次呼吸,其中42%为正常-轻度变形,23%为中度变形,34%为重度变形(波形表现如下图所示)。使用CNN和RNN模型进行训练和评估,并使用重复保留交叉验证方法进行数据验证。结果发现:CNN算法准确分类了92%的正常轻度、74.4%的中度和89.6%的重度气道压力变形;RNN算法准确地分类了92%的正常-轻度、80.6%的中度和90.5%的重度气道压力变形。因此,AI可以显著提高患者-呼吸机不同步现象的检测精度,降低漏诊率。
图片
图源:Crit Care. 2024 Mar 14;28(1):75.
图片
三、挑战与问题


目前临床中应用的AI也存在诸多问题。
其一,模型的可解释性问题。许多机器学习和深度学习模型, 特别是深度神经网络, 常被视为"黑箱", 即其内在的决策过程难以解释。这在医疗领域尤为敏感, 因为医生需要理解模型的依据, 以便与自身的医学判断对比。由于模型的复杂性和不可解释性, 临床医生可能会对AI的输出结果持怀疑态度。模型的缺乏透明性可能导致医生在关键决策中不愿依赖AI, 甚至排斥使用。
其二,数据质量与样本量问题。成功的机器学习应用不是拥有最好的算法,而是拥有多的和质量好的数据。机械通气数据通常来源于不同医院和地区,数据收集方法和标准差异大,导致模型训练数据可能存在偏差。尽管重症监护数据量庞大,但真实可用的高质量标签数据有限,小数据集会影响模型的训练效果,使模型泛化能力不足,难以推广到广泛的患者群体。
其三,模型的可靠性与安全性。AI系统需要在动态变化的ICU环境中处理各种突发情况,但其可靠性可能无法达到临床要求。例如,患者的生命体征可能在短时间内大幅波动,这些变化可能超出模型的应对范围,从而影响模型的可靠性。一旦AI模型的输出信息错误,可能导致机械通气参数设置不当,进而威胁患者安全。这些错误可能来自于数据异常、模型过拟合等问题,因此如何确保模型输出的安全性尤为重要。
其四,数据隐私与伦理问题。ICU等重症监护环境下的患者数据高度敏感,包含个人健康信息。数据在人工智能模型训练和测试中需要大量应用,然而保护患者隐私和遵守法律法规是医疗领域的核心要求。患者数据的匿名化和去标识化处理仍然存在技术难点。AI系统的决策往往直接影响患者的生命安全,因此在使用过程中必须考虑伦理问题。如何确保模型的决策公正、透明且不对某些患者群体产生偏见,仍然是一个亟待解决的伦理难题。
其五,临床应用中的部署与整合困难。在ICU等高强度环境中,如何将AI模型与现有的呼吸机和电子病历(EMR)系统无缝集成是一个重要挑战。这包括软硬件兼容性、数据标准化以及与现有流程的整合。AI应用需要医护人员具备基本的人工智能和数据分析知识,但大多数医护人员并未接受过相关培训。这可能导致使用AI辅助决策系统时出错,甚至不信任AI系统。
其六,法规和监管障碍。由于AI在医疗应用中的发展较快,现有的法规和监管框架难以跟上技术的进步。例如,如何监管AI模型的安全性、适应性和有效性仍在探索中。监管部门还需建立专门针对AI医疗应用的认证和评估流程。在AI系统发生错误时,责任如何划分尚无明确规定。比如,若AI辅助系统建议的通气参数导致患者受伤或死亡,究竟是AI的开发者、医院还是使用系统的医生承担责任,仍需在法规中明确。
其七,模型的实时更新与适应性。患者数据动态变化,模型在初始训练后可能会逐渐失去对新病例的适应性。因此,如何实现模型的实时更新和持续优化,以确保其在ICU等高动态环境中保持有效性,是当前的技术难题。AI系统往往在短期效果上表现良好,但其长期效果尚待评估。特别是在患者群体不断变化、疾病表现多样的背景下,模型需要不断适应新的临床实践和数据。


这些挑战与问题共同表明,尽管AI在机械通气领域应用前景广阔,但为了确保其在临床上的广泛应用和有效性,未来研究需要着重关注数据质量、模型的可解释性、系统集成和法规监管等方面。



   参考文献    

上下滑动阅览

[1] Rubulotta F, Blanch Torra L, Naidoo KD, et al. Mechanical Ventilation, Past, Present, and Future[J]. Anesth Analg, 2024, 138(2):308-325.
[2] Shashikumar SP, Wardi G, Paul P, et al. Development and Prospective Validation of a Deep Learning Algorithm for Predicting Need for Mechanical Ventilation[J]. Chest, 2021, 159(6):2264-2273. 
[3] Pelosi P, Ball L, Barbas CSV, et al. Personalized mechanical ventilation in acute respiratory distress syndrome[J]. Crit Care, 2021, 25(1):250. 
[4] Peine A, Hallawa A, Bickenbach J, et al. Development and validation of a reinforcement learning algorithm to dynamically optimize mechanical ventilation in critical care[J]. NPJ Digit Med, 2021, 4(1):32. 
[5] McConville JF, Kress JP. Weaning patients from the ventilator[J]. N Engl J Med, 2012, 367(23):2233-2239. 
[6] Stivi T, Padawer D, Dirini N, et al. Using Artificial Intelligence to Predict Mechanical Ventilation Weaning Success in Patients with Respiratory Failure, Including Those with Acute Respiratory Distress Syndrome[J]. J Clin Med, 2024, 13(5):1505.
[7] Jia Y, Kaul C, Lawton T, et al. Prediction of weaning from mechanical ventilation using Convolutional Neural Networks[J]. Artif Intell Med, 2021, 117:102087.
[8] Silva DO, de Souza PN, de Araujo Sousa ML, et al. Impact on the ability of healthcare professionals to correctly identify patient-ventilator asynchronies of the simultaneous visualization of estimated muscle pressure curves on the ventilator display: a randomized study (Pmus study)[J]. Crit Care, 2023, 27(1):128.
[9] ventilation: avoiding insufficient and excessive effort[J]. Intensive Care Med, 2020, 46(12):2314-2326. 
[10] de Haro C, Santos-Pulpón V, Telías I, et al. Flow starvation during square-flow assisted ventilation detected by supervised deep learning techniques[J]. Crit Care, 2024, 28(1):75. 


    作者介绍    

图片

陶程

中日友好医院呼吸与危重症医学科呼吸治疗师,毕业于四川大学呼吸治疗专业,从事呼吸治疗工作6年。主要研究方向:危重症呼吸支持与气道管理,参与编写专著3部,发表论文2篇,获实用新型专利1项



全部评论 0
Copyright©2020-2026 北京医麦斯科技有限公司 版权所有 京ICP备2020034400号-1 京公网安备11010502043983号