登录方式

方式一:
PC端网页:www.rccrc.cn
输入账号密码登录,可将此网址收藏并保存密码方便下次登录

方式二:
手机端网页:www.rccrc.cn
输入账号密码登录,可将此网址添加至手机桌面并保存密码方便下次登录

方式三:
【重症肺言】微信公众号
输入账号密码登录

注:账号具有唯一性,即同一个账号不能在两个地方同时登录。

登录
方式

为重症救治赋能

为患者康复加速

当前位置: 首页 呼吸e站 文献学习

mNGS联合常规微生物检测可缩短ICU内SCAP的临床改善时间!詹庆元教授团队发表全球首个mNGS临床应用前瞻性随机对照研究

詹庆元,吴小静等 中日友好医院 发布于2024-07-30 浏览 5915 收藏

国家呼吸医学中心、中日友好医院呼吸中心詹庆元教授团队近日在CHEST发表最新研究成果,题为“Effect of Metagenomic Next-Generation Sequencing on Clinical Outcomes of Patients with Severe Community-Acquired Pneumonia in ICU: A Multicenter Randomized Controlled Trial(mNGS对ICU内重症社区获得性肺炎患者临床结局的影响:一项多中心随机对照试验)”

图片

图片

该研究的重要发现:三个“首次”

  1. 首次通过前瞻性多中心随机对照试验评估了mNGS在ICU内重症社区获得性肺炎(SCAP)患者中应用的临床意义,为mNGS的临床使用提供了循证医学证据。
  2. 首次全部使用支气管肺泡灌洗液(BALF)作为SCAP患者的mNGS病原学检测标本,诊断和结果更加可靠。
  3. 首次证实了mNGS不仅能提高SCAP患者的诊断率和缩短诊断时间,还能进一步提高临床抗感染治疗的精准性,指导抗生素降阶梯应用,减少抗生素滥用。

该研究发现,与单独使用常规微生物检测方法(CMT)相比,mNGS联合CMT可以缩短ICU内SCAP患者的临床改善时间,并提高14天内临床改善率。

一、
研究方法
图片

该研究为中国大陆地区10家三甲医院ICU进行的一项多中心、随机、非盲的临床试验。患者以1:1的比例按照分层区组随机方法分组,入选后均行气管镜获取BALF标本,接受常规微生物检测(CMT组)或CMT基础上同时接受mNGS检测(mNGS组)。
图片
二、
研究结果
图片

1. mNGS可提高ICU内SCAP患者的病原学诊断率,并精确指导抗感染方案的调整
研究共入组349例SCAP患者,其中mNGS组179例,CMT组170例。349例患者中207例(59.3%)患者获得明确病原学诊断。mNGS结果回报的中位时间为47h(37,50)。mNGS组和CMT组的病原学诊断率分别为79.9%(143/179)和38.8%(66/170)(P<0.001)。mNGS组更多患者抗生素获得降阶梯调整,显著高于CMT组(20.7% vs 10.6%;P=0.010)。这一优势在免疫功能正常的患者中尤为显著(20.2% vs 10.9%;P=0.042)。
图片
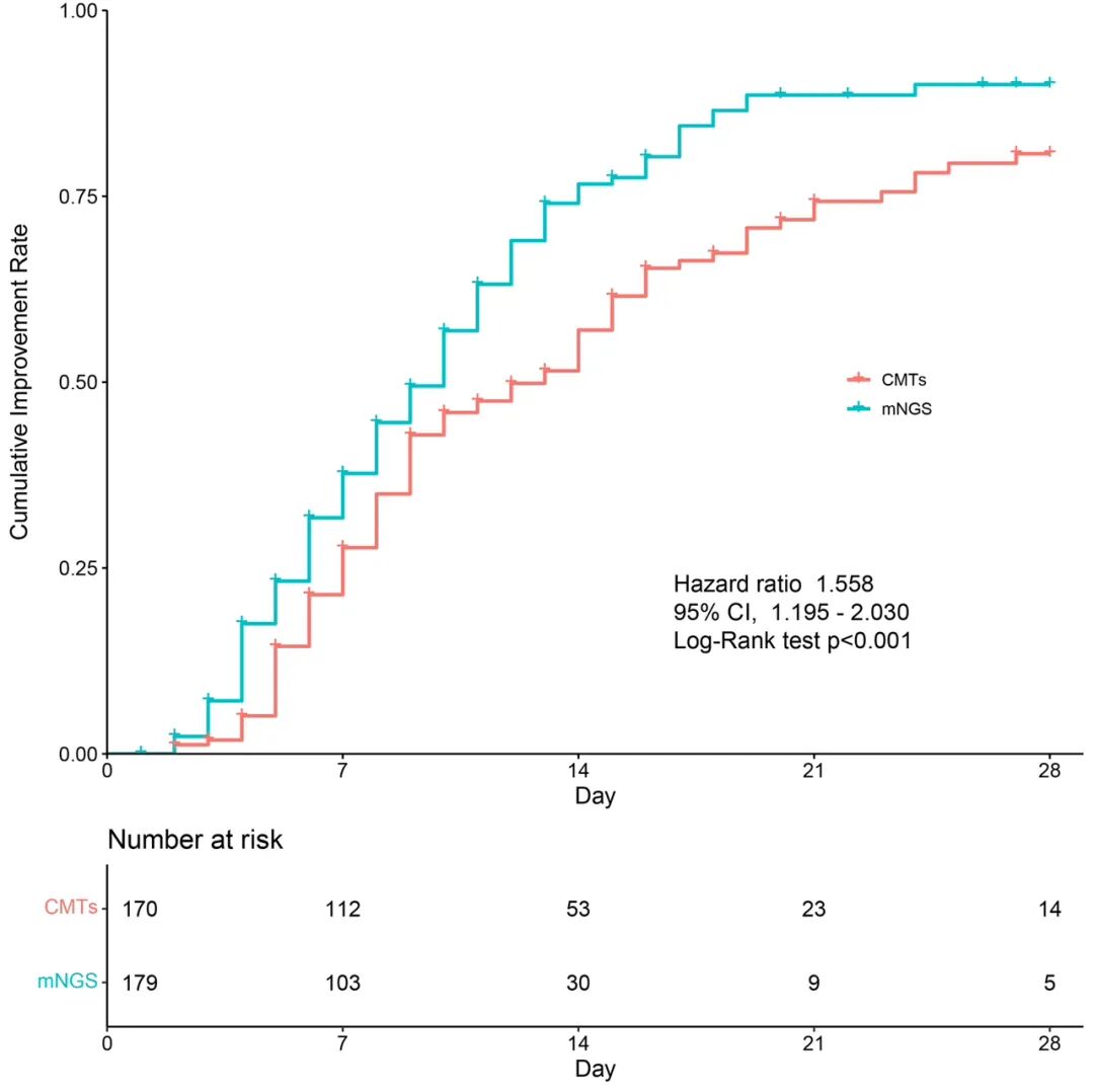
2. mNGS可缩短ICU内SCAP患者临床改善时间
mNGS组患者28天内临床改善的中位时间为10,CMT组为13[HR=1.558(95%CI: 1.195~2.030),P<0.001]。亚组分析显示,免疫抑制患者中mNGS组和CMT组的临床改善时间存在差异趋势(P=0.057)。免疫功能正常患者中,两组28天内临床改善时间存在显著性差异[9天 vs 10天;HR=1.539(95%CI: 1.132~2.093);P=0.005]。
图片
3. 两组患者在死亡率方面无显著差异

mNGS组患者14天内临床改善的患者比率(62.0%)显著高于CMT组(46.5%)。两组患者在28天无机械通气时间、28天死亡率、ICU内死亡率、住院死亡率、ICU住院时间、总住院时间、ICU费用和总住院费用方面没有显著差异。

图片

三、
主要研究结论
图片

  1. 与单独使用常规微生物检测方法(CMT)相比,BALF标本mNGS联合CMT可以缩短ICU内SCAP患者的临床改善时间。
  2. mNGS有助于早期准确的致病微生物诊断和抗生素管理,有利于实现ICU早期精准抗感染治疗,减少抗生素滥用。



该研究通讯作者:詹庆元(中日友好医院)
共同第一作者:吴小静、贺航咏(中日友好医院), 孙婷(滨州医学院附属医院), 邢丽华(郑州大学第一附属医院), 程真顺(武汉大学中南医院), 耿爽(武汉市中心医院), 徐德祥(青岛市中心医院), 罗红(湘雅二医院), 陈成(苏州大学第一附属医院), 蒋明彦(湘潭市中心医院), 侯鹏国(大同市第三医院)


原文献:
Wu X, Sun T, He H, et al. Effect of Metagenomic Next-Generation Sequencing on Clinical Outcomes of Patients with Severe Community-Acquired Pneumonia in ICU: A Multicenter Randomized Controlled Trial[J]. CHEST. Available online 25 July 2024. 
https://www.sciencedirect.com/science/article/abs/pii/S0012369224048633


全部评论 0
Copyright©2020-2026 北京医麦斯科技有限公司 版权所有 京ICP备2020034400号-1 京公网安备11010502043983号